ABSTRACT:
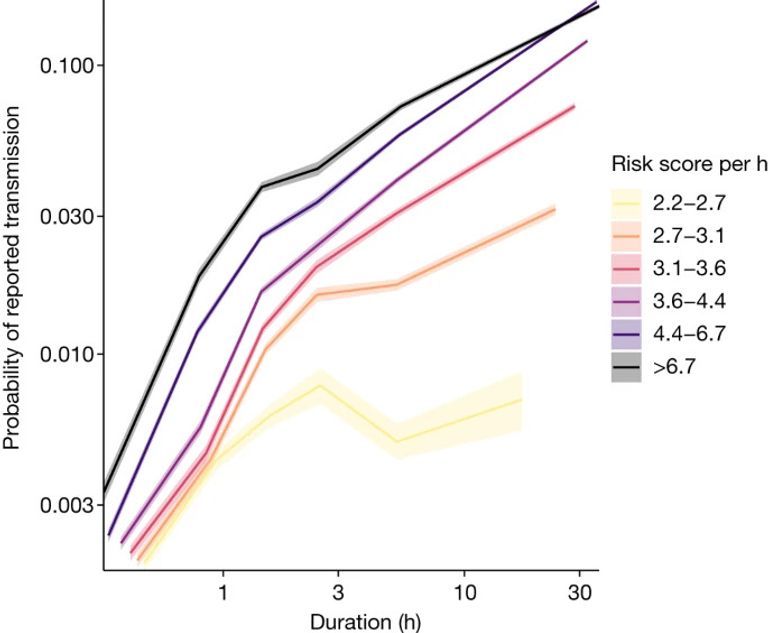
How likely is it to become infected by SARS-CoV-2 after being exposed? Almost everyone wondered about this question during the COVID-19 pandemic. Contact-tracing apps1,2 recorded measurements of proximity3 and duration between nearby smartphones. Contacts—individuals exposed to confirmed cases—were notified according to public health policies such as the 2 m, 15 min guideline4,5, despite limited evidence supporting this threshold. Here we analysed 7 million contacts notified by the National Health Service COVID-19 app6,7 in England and Wales to infer how app measurements translated to actual transmissions. Empirical metrics and statistical modelling showed a strong relation between app-computed risk scores and actual transmission probability. Longer exposures at greater distances had risk similar to that of shorter exposures at closer distances. The probability of transmission confirmed by a reported positive test increased initially linearly with duration of exposure (1.1% per hour) and continued increasing over several days. Whereas most exposures were short (median 0.7 h, interquartile range 0.4–1.6), transmissions typically resulted from exposures lasting between 1 h and several days (median 6 h, interquartile range 1.4–28). Households accounted for about 6% of contacts but 40% of transmissions. With sufficient preparation, privacy-preserving yet precise analyses of risk that would inform public health measures, based on digital contact tracing, could be performed within weeks of the emergence of a new pathogen.
