ABSTRACT
Background: An infection with SARS-CoV-2 can lead to a variety of symptoms and complications, which can impair athletic activity.
Objective: We aimed to assess the clinical symptom patterns, diagnostic findings, and the extent of impairment in sport practice in a large cohort of athletes infected with SARS-CoV-2, both initially after infection and at follow-up. Additionally, we investigated whether baseline factors that may contribute to reduced exercise tolerance at follow-up can be identified.
Methods: In this prospective, observational, multicenter study, we recruited German COVID elite-athletes (cEAs, n = 444) and COVID non-elite athletes (cNEAs, n = 481) who tested positive for SARS-CoV-2 by PCR (polymerase chain reaction test). Athletes from the federal squad with no evidence of SARS-CoV-2 infection served as healthy controls (EAcon, n = 501). Questionnaires were used to assess load and duration of infectious symptoms, other complaints, exercise tolerance, and duration of training interruption at baseline and at follow-up 6 months after baseline. Diagnostic tests conducted at baseline included resting and exercise electrocardiogram (ECG), echocardiography, spirometry, and blood analyses.
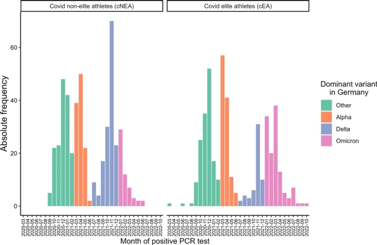
Results: Most acute and infection-related symptoms and other complaints were more prevalent in cNEA than in cEAs. Compared to cEAs, EAcon had a low symptom load. In cNEAs, female athletes had a higher prevalence of complaints such as palpitations, dizziness, chest pain, myalgia, sleeping disturbances, mood swings, and concentration problems compared to male athletes (p < 0.05). Until follow-up, leading symptoms were drop in performance, concentration problems, and dyspnea on exertion. Female athletes had significantly higher prevalence for symptoms until follow-up compared to male. Pathological findings in ECG, echocardiography, and spirometry, attributed to SARS-CoV-2 infection, were rare in infected athletes. Most athletes reported a training interruption between 2 and 4 weeks (cNEAs: 52.9%, cEAs: 52.4%), while more cNEAs (27.1%) compared to cEAs (5.1%) had a training interruption lasting more than 4 weeks (p < 0.001). At follow-up, 13.8% of cNEAs and 9.9% of cEAs (p = 0.24) reported their current exercise tolerance to be under 70% compared to pre-infection state. A persistent loss of exercise tolerance at follow-up was associated with persistent complaints at baseline, female sex, a longer break in training, and age > 38 years. Periodical dichotomization of the data set showed a higher prevalence of infectious symptoms such as cough, sore throat, and coryza in the second phase of the pandemic, while a number of neuropsychiatric symptoms as well as dyspnea on exertion were less frequent in this period.
Conclusions: Compared to recreational athletes, elite athletes seem to be at lower risk of being or remaining symptomatic after SARS-CoV-2 infection. It remains to be determined whether persistent complaints after SARS-CoV-2 infection without evidence of accompanying organ damage may have a negative impact on further health and career in athletes. Identifying risk factors for an extended recovery period such as female sex and ongoing neuropsychological symptoms could help to identify athletes, who may require a more cautious approach to rebuilding their training regimen.




