ABSTRACT:
Objectives:
Severe acute respiratory syndrome coronavirus (SARS-CoV-2) is a novel coronavirus that causes COVID-19. This disease is associated with leukocytosis with lymphopenia, neutrophilia, and elevated levels of d-dimer, and C-reactive protein, ferritin, procalcitonin, and lactate dehydrogenase. The aim of this study was to describe the clinical and analytical characteristics of hospitalized patients with SARS-CoV-2 infection and to identify prognostic factors of disease progression.
Methods:
Patients were categorized into two groups based on COVID-19 severity. Study variables included demographic data, medical history, length of hospital stay, course of pneumonia, drug therapy, and analytical parameters. A descriptive and multivariate analysis was performed to identify prognostic factors for disease severity.
Results:
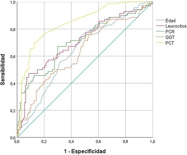
The study population included 197 patients, of whom 127 had mild disease and 70 had severe COVID-19. Statistically significant differences were observed in most analytical parameters. The parameters included in the multivariate analysis were advanced age and elevated levels of leukocytes, CRP, GGT, and PCT at admission as prognostic factors for disease severity.
Conclusions:
The prognostic factors for the severity of SARS-CoV-2 infection identified in this study (age, leukocytes, CRP, GGT, and PCT) will help predict the course of the disease at an early stage.
