ABSTRACT
Purpose
Post-Acute Sequelae of SARS-CoV-2 Infection (PASC), or long COVID (LC), remains a significant burden for public health, with limited long-term data. This study aimed to assess the prevalence and evolution of PASC symptoms after ancestral SARS-CoV-2 (aSCV2) infection in a longitudinal healthcare worker (HCW) cohort.
Methods
A multicentre cohort study involving HCWs from 14 institutions was conducted in Switzerland. Infection status was based on self-reported positive swabs, with additional serology used to confirm uninfected controls. Baseline was defined as the first survey conducted in 2022 (median 18.5 months post-infection), with follow-up surveys every 6 months through November 2024. To identify PASC-specific symptoms, 24 chronic symptoms were compared between 456 aSCV2-infected and 571 uninfected participants using chi-square tests at baseline. In aSCV2-infected individuals reporting PASC-specific symptoms, symptom trajectories and subjective LC were analyzed across follow-up surveys. Functional limitations were assessed using the Post-COVID Functional Status (PCFS) scale.
Results
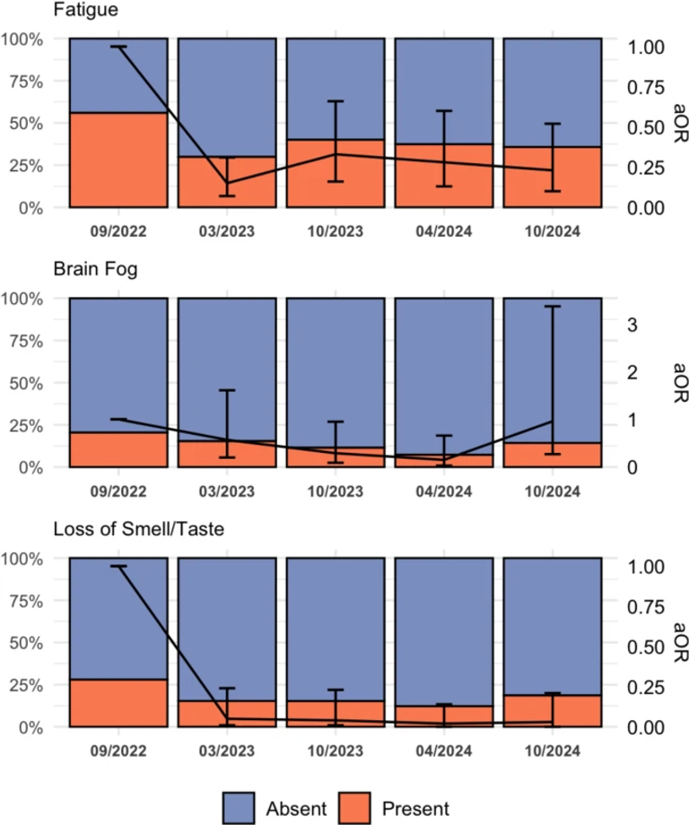
Thirteen of 24 symptoms were more common in aSCV2-infected individuals, with fatigue (22.8%), loss of smell/taste (11.4%), and brain fog (8.3%) being most prevalent. At baseline, 186/456 (40.8%) infected participants reported ≥ 1 PASC-specific symptom. Most symptoms declined in prevalence up to the last survey (median 47.5 months post-infection), although 41/70 (58.6%) remaining participants still reported ≥ 1 PASC symptom. Subjective LC was reported by 70/186 (37.6%) and was associated with higher symptom burden. PCFS scores showed slight impairments in most cases, although moderate-to-severe limitations often persisted.
Conclusions
PASC symptoms persisted up to four years after aSCV2 infection in a substantial proportion of HCWs.
