ABSTRACT
Background: In response to the SARS-CoV-2 epidemic, a convenient, rapid, and sensitive diagnostic method for detecting COVID-19 is crucial for patient control and timely treatment.
Objective: This study aimed to validate the detection of SARS-CoV-2 with the Pluslife SARS-CoV-2 rapid test kit developed based on a novel thermostatic amplification technique called RNase hybridization-assisted amplification.
Methods: From November 25 to December 8, 2022, patients with suspected or confirmed COVID-19, close contacts, and health care workers at high risk of exposure were recruited from 3 hospitals and 1 university. Respiratory specimens were collected for testing with the Pluslife SARS-CoV-2 rapid test kit and compared with reverse transcription-quantitative polymerase chain reaction (RT-qPCR) and a commercial antigen assay kit. Samples from 1447 cases were obtained from 3 “ready-to-test” scenarios in which samples were collected on site and tested immediately, and samples from 503 cases were obtained from a “freeze-thaw test” scenario in which samples were collected, frozen, and thawed for testing.
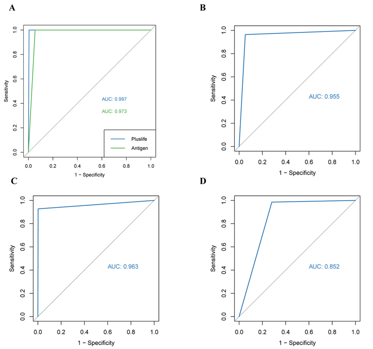
Results: Pluslife SARS-CoV-2 rapid testing of samples from the “ready-to-test” scenario was found to be accurate (overall sensitivity and specificity of 98.3% and 99.3%, respectively) and diagnostically useful (positive and negative likelihood ratios of 145.45 and 0.02, respectively). Pluslife SARS-CoV-2 rapid testing of samples from the “freeze-thaw test” scenario was also found to be accurate (overall sensitivity and specificity of 71.2% and 98.6%, respectively) and diagnostically useful (positive and negative likelihood ratios of 51.01 and 0.67, respectively). Our findings demonstrated that the time efficiency and accuracy of the results in a “ready-to-test” scenario were better. The time required from sample preparation to the seeing the result of the Pluslife SARS-CoV-2 rapid test was 10 to 38 minutes, which was substantially shorter than that of RT-qPCR (at least 90 minutes). In addition, the diagnostic efficacy of the Pluslife SARS-CoV-2 rapid test was better than that of a commercial antigen assay kit.
Conclusions: The developed RNase hybridization-assisted amplification assay provided rapid, sensitive, and convenient detection of SARS-CoV-2 infection and may be useful for enhanced detection of COVID-19 in homes, high-risk industries, and hospitals.
