ABSTRACT
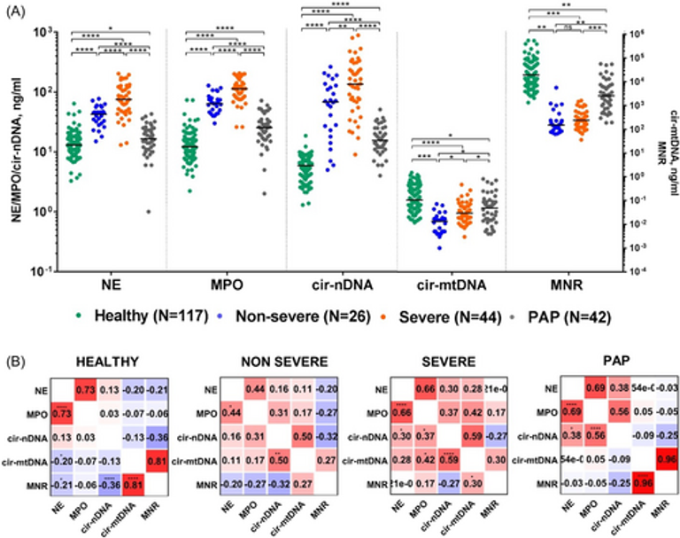
In the early phase of the pandemic, we were among the first to postulate that neutrophil extracellular traps (NETs) play a key role in COVID-19 pathogenesis. This exploratory prospective study based on 279 individuals showed that plasma levels of neutrophil elastase, myeloperoxidase and circulating DNA of nuclear and mitochondrial origins in nonsevere (NS), severe (S) and postacute phase (PAP) COVID-19 patients were statistically different as compared to the levels in healthy individuals, and revealed the high diagnostic power of these NETs markers in respect to the disease severity. The diagnostic power of NE, MPO, and cir-nDNA as determined by the Area Under Receiver Operating Curves (AUROC) was 0.95, 097, and 0.64; 0.99, 1.0, and 0.82; and 0.94, 1.0, and 0.93, in NS, S, and PAP patient subgroups, respectively. In addition, a significant fraction of NS, S as well as of PAP patients exhibited aCL IgM/IgG and anti-B2GP IgM/IgG positivity. We first demonstrate persistence of these NETs markers in PAP patients and consequently of sustained innate immune response imbalance, and a prolonged low-level pro-thrombotic potential activity highlighting the need to monitor these markers in all COVID-19 PAP individuals, to investigate postacute COVID-19 pathogenesis following intensive care, and to better identify which medical resources will ensure complete patient recovery.

