Background:

Previous comparative analyses of people admitted to hospital for COVID-19 versus influenza evaluated the risk of death, hospital readmission, and a narrow set of health outcomes up to 6 months following infection. We aimed to do a comparative evaluation of both acute and long-term risks and burdens of a comprehensive set of health outcomes following hospital admission for COVID-19 or seasonal influenza.

Methods:

For this cohort study we used the health-care databases of the US Department of Veterans Affairs to analyse data from 81 280 participants admitted to hospital for COVID-19 between March 1, 2020, and June 30, 2022, and 10 985 participants admitted to hospital for seasonal influenza between Oct 1, 2015, and Feb 28, 2019. Participants were followed up for up to 18 months to comparatively evaluate risks and burdens of death, a prespecified set of 94 individual health outcomes, ten organ systems, overall burden across all organ systems, readmission, and admission to intensive care. Inverse probability weighting was used to balance the baseline characteristics. Cox and Poisson models were used to generate estimates of risk on both the relative scale and absolute scale as the event rate and disability-adjusted life-years (DALYs) per 100 persons.

Findings:

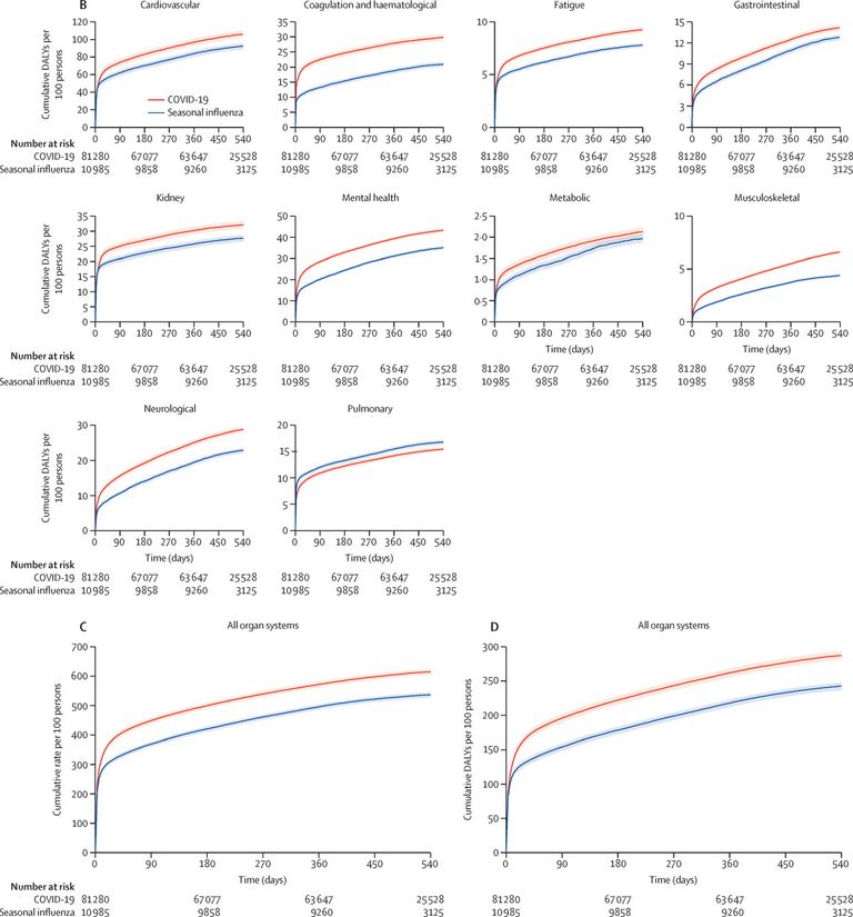
Over 18 months of follow-up, compared to seasonal influenza, the COVID-19 group had an increased risk of death (hazard ratio [HR] 1·51 [95% CI 1·45–1·58]), corresponding to an excess death rate of 8·62 (95% CI 7·55–9·44) per 100 persons in the COVID-19 group versus the influenza group. Comparative analyses of 94 prespecified health outcomes showed that COVID-19 had an increased risk of 68·1% (64 of 94) pre-specified health outcomes; seasonal influenza was associated with an increased risk of 6·4% (six of 94) pre-specified health outcomes, including three out of four pre-specified pulmonary outcomes. Analyses of organ systems showed that COVID-19 had a higher risk across all organ systems except for the pulmonary system, the risk of which was higher in seasonal influenza. The cumulative rates of adverse health outcomes across all organ systems were 615·18 (95% CI 605·17–624·88) per 100 persons in COVID-19 and 536·90 (527·38–544·90) per 100 persons in seasonal influenza, corresponding to an excess rate of 78·72 (95% CI 66·15–91·24) per 100 persons in COVID-19. The total number of DALYs across all organ systems were 287·43 (95% CI 281·10–293·59) per 100 persons in the COVID-19 group and 242·66 (236·75, 247·67) per 100 persons in the seasonal influenza group, corresponding to 45·03 (95% CI 37·15–52·90) higher DALYs per 100 persons in COVID-19. Decomposition analyses showed that in both COVID-19 and seasonal influenza, there was a higher burden of health loss in the post-acute than the acute phase; and comparatively, except for the pulmonary system, COVID-19 had a higher burden of health loss across all other organ systems than seasonal influenza in both the acute and post-acute phase. Compared to seasonal influenza, COVID-19 also had an increased risk of hospital readmission (excess rate 20·50 [95% CI 16·10–24·86] per 100 persons) and admission to intensive care (excess rate 9·23 [6·68–11·82] per 100 persons). The findings were consistent in analyses comparatively evaluating risks in seasonal influenza versus COVID-19 by individuals' respective vaccination status and in those admitted to hospital during the pre-delta, delta, and omicron eras.

Interpretation:

Although rates of death and adverse health outcomes following hospital admission for either seasonal influenza or COVID-19 are high, this comparative analysis shows that hospital admission for COVID-19 was associated with higher long-term risks of death and adverse health outcomes in nearly every organ system (except for the pulmonary system) and significant cumulative excess DALYs than hospital admission for seasonal influenza. The substantial cumulative burden of health loss in both groups calls for greater prevention of hospital admission for these two viruses and for greater attention to the care needs of people with long-term health effects due to either seasonal influenza or SARS-CoV-2 infection.

Funding:

US Department of Veterans Affairs.